
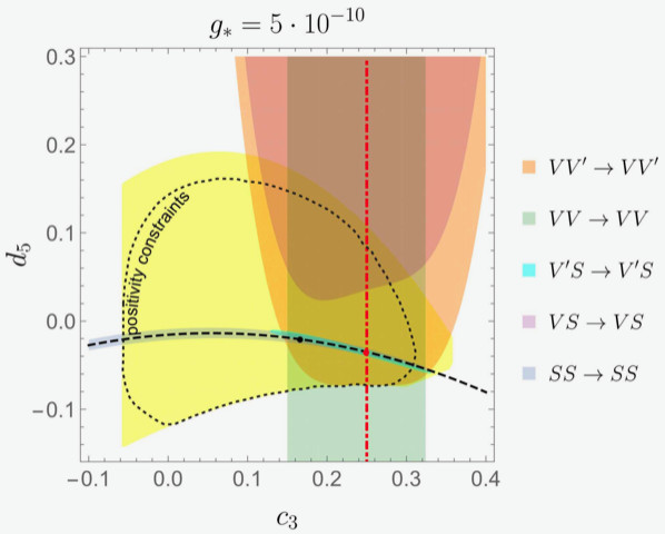
Remarkably enough, extra information about the UV can always be extracted if the underlying Lorentz invariant microscopic theory is unitary, causal and local. These principles are encoded in the fundamental properties of the S-matrix such as unitarity, analyticity, crossing symmetry, and locality. These imply a UV-IR connection in the form positivity bounds. In a recent paper, https://journals.aps.org/prl/abstract/10.1103/PhysRevLett.120.161101, Brando Bellazzini and collaborators have discovered new, more powerful, positivity bounds. The new bounds are so stringent that certain theories of modified gravity, such as ghost-free Massive Gravity, are either ruled out or unable to describe gravitational phenomena where General Relativity has been successfully tested. This greatly reduces the landscape of theoretically consistent modifications of general relativity, and it can be applied to several other interesting EFT’s.


